最新,高考艺体类首段平行投档分数线出炉!
来源:教育之江 发布时间:2024-07-17 15:03:14
我省2024年高考艺术类统考批第一段、体育类第一段平行志愿投档线刚刚出炉。快来看你投到了哪。
怎样查询投档去向
高校专业投档分数线,是被投档到某高校专业的最后一名考生的分数,不是事先划定的,而是由计算机投档后自动形成。考生可根据自己的志愿顺序,依次对照相应高校专业投档分数位次与自己的成绩位次,预估当前投档去向。
预计7月19日左右,相关考生可通过浙江省教育考试院网站(www.zjzs.net)和“浙江考试”微信公众号,查询自己的录取情况。
怎样进行投档录取
艺术类统考批、体育类平行志愿实行分段招生。投档时,艺术类以考生高考总分及选考科目符合所填报志愿为前提,分科类(美术与设计类、音乐类、舞蹈类、表(导)演类、播音与主持类、书法类)按综合分成绩实行专业平行志愿投档,直接投到考生所填报的具体高校的具体专业。体育类以选考科目符合所填报志愿为前提,以综合分成绩为依据实行专业平行志愿投档。投档比例均为1:1。
综合分成绩相同情况下,考生综合分位次在前者优先投档,位次相同时志愿顺序在前者优先投档,位次和志愿顺序均相同则一并投档。
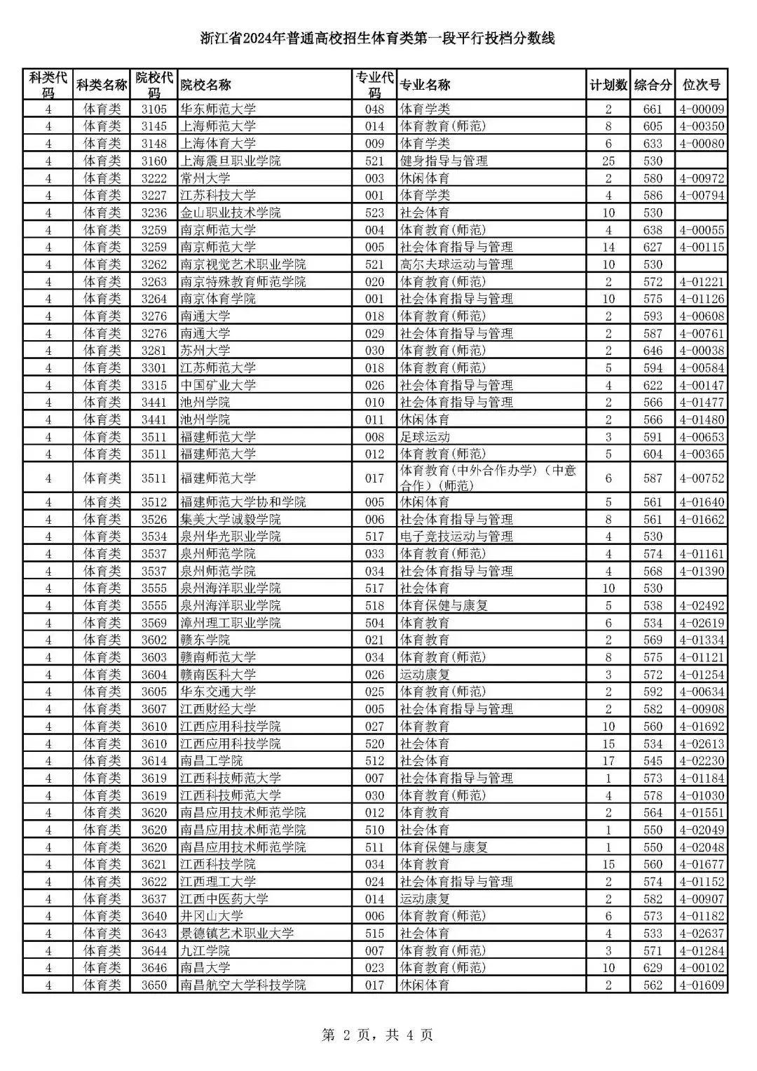
浙江省2024年普通高校招生
艺术类统考批第一段平行投档分数线






































浙江省2024年普通高校招生
体育类第一段平行投档分数线



